近日,bevictor伟德官网环境污染控制化学团队与清华大学李俊华教授团队合作,在Nature Communications上发表题为“Reverse Oxygen Spillover Triggered by CO Adsorption on Sn-doped Pt/TiO2 for Low-Temperature CO Oxidation”的高水平学术论文。Nature Communications是Nature出版集团旗下的一本综合性自然科学期刊,致力于发表高质量、原创性自然科学研究成果,涵盖了物理、化学、生物学、环境科学、材料科学、地球科学等领域。Nature Communications的2021-2022年影响因子为17.694。论文主要作者有:陈建军(清华大学,第一作者)、熊尚超(bevictor伟德官网,等同一作,共同通讯)、李俊华(清华大学,通讯作者)。
该论文结合一系列原位表征和密度泛函理论(DFT)模拟,探究了Pt/SnTiO2催化剂在CO催化氧化反应过程中表面氧物种的迁移和转化过程,直观地观测到氧逆溢流的实验现象,揭示了由CO吸附引发的氧逆溢流界面化学过程,为设计适用于各类催化反应、且具有氧逆溢流反应过程的催化剂体系奠定理论基础。其中,bevictor伟德官网环境污染控制化学团队主要负责整体论文思路设计和DFT模拟,清华大学李俊华教授团队完成了催化剂设计和实验过程。两方团队合作完成论文撰写和投稿。
论文网页截图:

论文链接:https://www.nature.com/articles/s41467-023-39226-6
论文主要研究内容是:
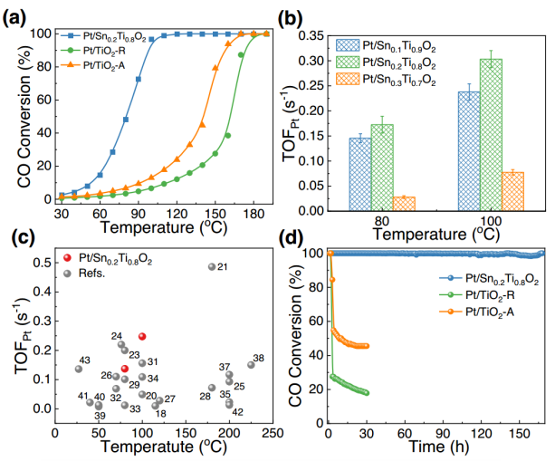
氢气在催化剂表面的活性位点吸附,随后被活化解离形成活性H原子,再迁移至载体表面发生反应,这一过程被称为氢溢流。氢溢流反应的机制清晰,且研究者已达成一定的共识。但与氢溢流相比,氧溢流的机制尚不清晰,且氧物种的溢流过程在氧化还原反应中至关重要。本文针对尾气中的低浓度CO污染物,探究了Sn掺杂对Pt/TiO2催化剂氧化CO的反应过程中氧溢流过程的影响机制。研究结果显示,在相同Pt负载量下,Pt/Sn0.2Ti0.8O2的CO氧化活性最好(图1)。在整个原位NAP-XPS(图2)研究中,没有检测到金属Pt物种的峰。经H2预处理后,均只观察到Pt2+,进一步O2处理后,未观察到Pt4+。然而,Pt/Sn0.2Ti0.8O2引入CO + O2会生成Pt4+物种,且Pt4+仅在通入CO时存在。Pt/TiO2-R和Pt/TiO2-A催化剂不存在上述现象。此外,Pt/Sn0.2Ti0.8O2表面Pt2+氧化为Pt4+和CO氧化同时发生,表明晶格氧先转移到Pt位点上,然后再将CO氧化为CO2,即发生了氧逆溢流现象。采用密度泛函理论(DFT)模拟研究了Pt/Sn0.2Ti0.8O2和Pt/TiO2-R吸附CO后的电荷密度变化(图3)。Pt/Sn0.2Ti0.8O2催化剂吸附CO后Sn-O-Ti中O的电荷密度增加,促使了氧逆溢流的发生,参比样品Pt/TiO2-R催化剂则无上述现象。此外,从头算分子动力学模拟结果也直观地观测到了氧逆溢流过程。
总而言之,将Sn掺杂到载体TiO2后激活了低温(<100°C)下Pt/TiO2催化剂中的氧逆溢流过程,显著提升了Pt/TiO2催化剂的CO氧化活性。结合NAP-XPS、原位拉曼/红外光谱和从头算分子动力学模拟,揭示了氧逆溢流过程是指CO在Pt2+位点的吸附引发Sn-O-Ti键断裂,随后O迁移至活性位点导致Pt4+的生成。本研究清晰地描述了由CO吸附引发的氧逆溢流界面化学过程,理解这一过程有助于设计适用于各类催化反应的催化剂体系。

图1 CO氧化活性和稳定性测试

图2 Pt/Sn0.2Ti0.8O2、Pt/TiO2-R和Pt/TiO2-A的原位NAP-XPS和原位Raman

图3 Pt/Sn0.2Ti0.8O2和Pt/TiO2-R上CO氧化的DFT模拟
该项研究成果获得国家重点研发计划(No. 2022YFC3701600)、国家自然科学基金项目(52070114和22206155)、四川省苗子工程重点项目(2023JDRC0066)、bevictor伟德官网新型交叉学科培育基金(2682022KJ035)等项目的资助。
环境污染控制化学团队熊尚超博士简介:
熊尚超,bevictor伟德官网助理教授。长期致力于热催化法控制大气污染物排放的机制研究。已以第一作者/通讯作者在Nat Commun、Environ Sci Technol和Appl Catal B等期刊发表SCI论文16篇,参与发表论文50余篇,被引2500余次,h因子30。主持国家自然科学基金、四川省苗子工程重点项目等课题7项。曾获北京市优秀博士论文、清华大学优秀博士毕业生等荣誉。